В начале октября в Самарской области запланированы изменения в расписании движения пригородных поездов. Некоторые электрички придется отмениться, сообщает Самарская пригородная пассажирская компания.
Так, 5 октября будут проводиться ремонтные работы на участке Средневолжская – Козелковская.
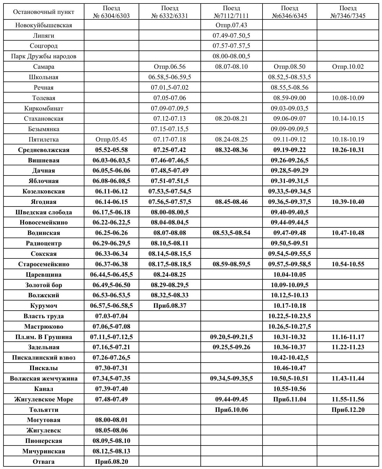
Поезд № 6304/6303 Пятилетка (отпр.05.45) – Отвага (приб.08.18) на участке Средневолжская — Отвага проследует по измененному расписанию Пятилетка (отпр.05.45) – Средневолжская (05.52 – 05.58) – Отвага (приб.08.20).
Поезд № 6332/6331 Самара (отпр.06.56) – Курумоч (приб.08.21) на участке Средневолжская – Курумоч проследует по измененному расписанию Самара (отпр.06.56) – Средневолжская (07.25 – 07.42) – Курумоч (приб.08.37).
Поезд № 7112/7111 Новокуйбышевская (отпр.07.43) — Тольятти (приб.10.03) на участке Средневолжская – Тольятти проследует по измененному расписанию Новокуйбышевская (отпр.07.43) – Средневолжская (08.32-08.36) – Тольятти (приб.10.06).
Поезд № 6346/6345 Самара (отпр.08.50) – Жигулевское Море (приб.11.02) на участке Средневолжская – Жигулевское Море проследует по измененному расписанию Самара (отпр.08.50) – Средневолжская (09.19-09.22) – Жигулевское Море (приб.11.04).
Поезд № 7346/7345 Самара (отпр.10.02) – Тольятти (приб.12.16) на участке Средневолжская – Тольятти проследует по измененному расписанию Самара (отпр.10.02) – Средневолжская (10.26-10.31) – Тольятти (приб.12.20).
7 октября вносятся изменения в расписание движения пригородных поездов на участках Самара – Тольятти и Жигулевское Море – Жигулевск.
Отменяются пригородные поезда: № 7124/7123 Новокуйбышевская(отпр.17.44) – Тольятти (приб.20.07) и № 7130/7129 Тольятти (отпр.20.56) – Новокуйбышевская (приб.23.17).
Изменяется расписание пригородных поездов:
Поезд № 7126/7125 Тольятти (отпр.17.08) – Новокуйбышевская (приб.19.31) устанавливается сообщением Тольятти (отпр.17.08) – Самара (приб.19.05) на участке Самара – Новокуйбышевская отменяется.
Поезд № 7128/7127 Новокуйбышевская (отпр.19.46) – Тольятти (приб.22.05) устанавливается сообщением Самара – Тольятти на участке Новокуйбышевская – Тольятти отменяется, проследует по измененному расписанию Самара (отпр.19.26) – Тольятти (приб.21.34).
Поезд № 7381 Жигулевское Море (отпр.21.52) – Жигулевск (приб.22.08) проследует по измененному расписанию Жигулевское Море (отпр.21.23) – Жигулевск (приб.21.39).

